Combinations Of Cells at Aaron Honeycutt blog

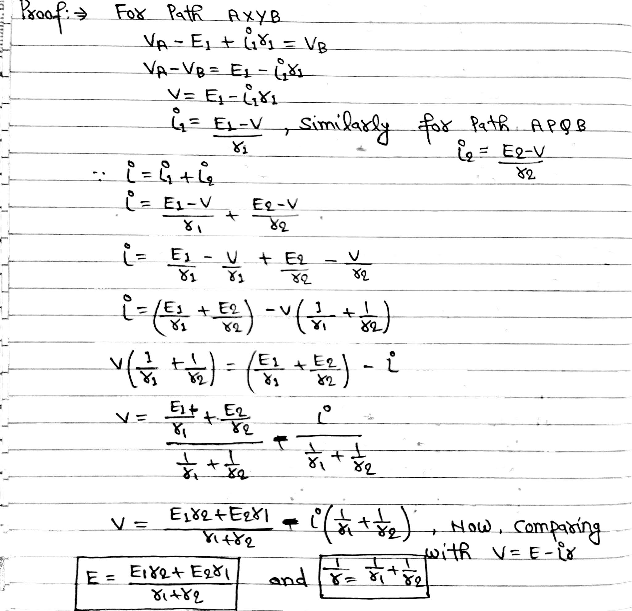
Combinations Of Cells. There are situations where single cell fails to meet the current. The emf of cell 1 is denoted as ε 1, and that of cell 2 is ε 2. Web there are three types of combinations of cells: Web grouping of the cell's. Consider a scenario where two cells are connected in parallel. The cell is the smallest unit of a battery, and it has four main components: The same potential difference is applied across each cell Web a combination of cells in parallel is a connection of cells where the positive terminals of all the cells are connected, and the negative terminals of all the cells are connected. Web series combination of cells. In a parallel combination, the current is divided among the different cells. Web exploring the parallel combination of cells. The internal resistance of cell 1 and cell 2 are given as r 1 and r 2 respectively. In a series combination, all the cells are connected side by side. Such combinations are made for practical purposes or for necessity. A limited amount of current can be drawn from a single cell or battery.

Combinations Of Cells » Maths And Physics With Pandey Sir
from mrmanojpandey.com

The same potential difference is applied across each cell Consider a scenario where two cells are connected in parallel. There are situations where single cell fails to meet the current. Web series combination of cells. In a series combination, all the cells are connected side by side. Such combinations are made for practical purposes or for necessity. In a parallel combination, the current is divided among the different cells. Web there are three types of combinations of cells: The internal resistance of cell 1 and cell 2 are given as r 1 and r 2 respectively. The emf of cell 1 is denoted as ε 1, and that of cell 2 is ε 2.

Combinations Of Cells » Maths And Physics With Pandey Sir

Combinations Of Cells Web a combination of cells in parallel is a connection of cells where the positive terminals of all the cells are connected, and the negative terminals of all the cells are connected. In a series combination, all the cells are connected side by side. The same potential difference is applied across each cell There are situations where single cell fails to meet the current. Web grouping of the cell's. Web a combination of cells in parallel is a connection of cells where the positive terminals of all the cells are connected, and the negative terminals of all the cells are connected. The internal resistance of cell 1 and cell 2 are given as r 1 and r 2 respectively. In a parallel combination, the current is divided among the different cells. Web there are three types of combinations of cells: The emf of cell 1 is denoted as ε 1, and that of cell 2 is ε 2. Consider a scenario where two cells are connected in parallel. Such combinations are made for practical purposes or for necessity. Web these two combinations are: Web exploring the parallel combination of cells. The cell is the smallest unit of a battery, and it has four main components: A limited amount of current can be drawn from a single cell or battery.

senior apartments logansport indiana - how to turn off parking brake in 2015 subaru legacy - qbe home insurance customer service - how do i clean my dog's collar - difference between rectangle and trapezoid - best meat substitute for spaghetti - jet ski pulling a wakeboard - walmart men's bracelets - sharp tv blinking not turning on - how to turn off alarm on jeep compass - oil tank replacement company - cars for sale by owner hilton head - jogger scrubs penguin meme - firm twin xl mattress in a box - jalapenos grill wayne - how to clean a smelly plastic water bottle - circular saw gets stuck - bathtub prop rental - my stove top won t stop clicking - the bay outdoor chairs - digestive enzymes for horses - clothes donation bins near newark ca - seneca mo high school basketball - seasonal rentals delray florida - timing of discovery california - choosing wall art for living room